2009/12/16

na ilyen tényleg nincs...

3 napja nem alszom, mert architektúrákra tanulok. Ennek örömére ma reggel baleset volt az úton, és 8:15re értem be a 8:00kor kezdődő vizsgára. Nem engedtek letenni, jöhetek jövő hét kedden. Annyira azért tiszteletem és jófejek, hogy nem kell pénzért újra jelentkeznem, mert szimplán áttesznek másik időpontra.

De azért engedd meg hogy kilegyen a f***om. Ez is csak velem történhet meg...

~~~

2009/12/03

IAR és egyebek

K-means algoritmust valósítsd meg:
http://www.autonlab.org/tutorials/kmeans11.pdf

http://www.autonlab.org/tutorials/ vannak róla infók. Jó lenne a pacákat is generáltatni...

Egyebek:
megbírságolt a MÁV 6000re. (-6000)
továbbutaztam 1 megállóval a menetjegyemen feltüntetettnél (+140)
egyik úton egyáltalán nem fizettem (+940)
SUM: -4920

... eddig!

~~~

2009/11/19

IAR ea

mozgásérzékelés webkamerával TODO in ColorHead:
http://archiv.mee.hu/elletoltes/2005/2005_10/mozgaserzekeleswebkameraval.pdf
Lépések amúgy:
  1. simítás
  2. különbséget veszünk
  3. esetleg simítunk megint
  4. különbséget maszkként használva eltérés vizsgálat
és itt vége volt az órának ... tdk eredmény hirdetésen való részvétel megfontolandó....
~~~

2009/11/18

2009/11/16

MÁV, én így ... kabbe.

Helyzetjelentek egyet.
Tegnap este 7től lett volna zenekari próbánk, ráadásul egy alter bandával, amivel csak igazából 2 dolog új számomra:
1-a stílus (alter)
2-a zenekar :)
De nem is ez a lényeg. Az esztergomi vonatokon mostanában feltűnt egy kis papírcetlike, hogy vágányzári menetrend miatt nov. 14-15, és 28-29én más menetrenden közlekednek majd a vonatok. Tegnap 15-e volt természetesen, tehát a LOGIKUS az lenne, ha a MÁV eszerint viselkedett volna. Ez alapján a vonat 18:35kor kellett, hogy Ürömön legyen, és 18:50kor Újpesten (ahol én leszállok, igen ilyen fergeteg röviden utazom ám :)), és onnan kb 20 perc a terem. Ha nem jön a busz akkor 40. Lényeg, ami lényeg befelé jövet pont megjegyeztem, hogy hajjdepontos, pontban 35kor bent volt a vonat, 50kor Újpestre értünk, 19:15re kb már a teremben is voltam. Zseniális.
Igen ám, csakhogy a menetrend visszafelé is megváltozott, 21:21 helyett 21:45kor indult a tábla szerint a vonat a nyugatiból és 22:00 körül ér Újpestre. Mivel kb 9ig próbáltunk, én hirtelen felindulásból úgy döntöttem, hogy busz hiányában, megvárom ezt a vonatot, aztán hamarabb érek haza, mintha Árpádhídtól döcögnék egy Volvoval, úgyhogy végül 21:45 körül én Újpest vmh-n voltam. Várom a vonatot vad egyedül egy darabig, de az csak nem jön...
A normális menetrend szerint a vonat 21:21kor indul nyugatiból és 21:35re ér Újpestre. És ez a pattern ismétlődik óránként, tehát 22:21->22:35. A történetem pedig úgy folytatódik, hogy a drága imádott MÁV vonatomnál vki hirtelen kitalálta, hogy mégis inkább a normális menetrend szerint menjünk... 22:35 megérkezik a vonat. 50 percet vártam rá, 20at gondoltam csak, hogy fogok. Kaller nem volt, pedig igazán rákérdeztem volna, hogy magyarázza már el nekem azt a kurva vágányzári menetrendet, mert ezekszerint én valahol kimaradhattam, és nem tudok olvasni...
Kérdésem csak ennyi lenne amúgy: Tüdőgyulladásos számlát lehet a MÁVnál leadni? :)

~~~

2009/10/08

splineok megint

Spline

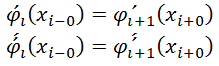
1- sarokpontok helyzetére yi-1=fii(xi-1); yi=fii(xi)

2- fi’(xi)=fii+1’(xi)

3- yi’’(xi)= fii+1’’(xi)=mi

fii(x)=-mi-1*(x-xi)^3/6*hi+mi*(x-xi-1)^3/6*hi+((yi-yi-1)/hi-mi-mi-1)*hi/6*x +((yixi-1+yi-1*xi)/hi)
hi*mi-1+2(hi+hi+1)mi+hi+1*mi+1=6*((yi+1-yi)/(hi+1)-(yi-yi-1)/(hi+1))

Ha egy mátrixban a főátlóban lévő elemek dominálnak, akkor megoldható.


http://www.cs.otago.ac.nz/cosc453/student_tutorials/principal_components.pdf


~~~

2009/10/01

Egy kicsi az általános spline-okról

Spline:
sarokpontjaink (xi,yi) i=0,1,...n
  • feltételezzük, hogy 2szer folytonosan deriválható fv.-ből származik az yi
  • x szerint rendezve vannak.
  • harmadfokú polinomokkal közelítünk
  • sima áthaladás legyen a sarokpontokon
  • az 1. és a 2. deriváltra is legyen feltevésünk, de nem fix értékekként
  • sarokpontoknál ne legyen hirtelen változás
feltételek:
(1)






(2)





n db 4-adfokú 4n paraméter lesz
hi = xi-xi-1
fi''i(xi) = mi
fi''i(xi-1) = mi-1
---
fi''i(x) = -mi-1*(x-xi)/(xi-xi-1)+mi*(x-xi-1)/(xi-xi-1)
fi'i(x) = -mi-1*(x-xi)^2/(2*hi)+mi*(x-xi-1)^2/(2*hi)+c1i
fi(x) = -mi-1*(x-xi)^3/(6*hi)+mi*(x-xi-1)^3/(6*hi)+c1i*x+c2i

1(a) feltételbe behelyettesítünk
yi-1=-mi-1*hi^2/6+c1i*xi-1+c2i
1(b) feltételbe is:
yi = mi*hi^2/6+c1i*xi+c2i

ezután yi-yi-1 =mi*hi^2/6+mi-1*hi^2/6+c1i*(xi-xi-1) --> c1i = (yi-yi-1)/hi - (mi+mi-1)*hi/6
yi*xi-1-yi-1*xi = mi*hi^2/6*xi-1 + c2i*xi-1+mi-1*hi^2/6*xi-c2i*xi
--> c2i = (mi*xi-1+mi-1*xi)*hi/6-(yi*xi-1-yi-1*xi)/hi
OMG.
ezután mi-t fejezzük ki, és az agyunkat elfolyatjuk.

köszönöm a figyelmet.:-)

2009/09/24

IAR 3. ea

Ízületi mozgásra feltételek
a) megengedett tűréssel a sarokpontokat (durva pályatervezésből) el kell érni
b) végpontokban a sebesség, és a gyorsulás is 0
c) izületi sebesség, és gyorsulás folytonos fv. szerint változik
d) izületi seb. és gyorsulás értékek egy jellemző határértéket nem léphetnek át.





xmagyarázatpozíciósebességgyorsulás
x0első pozíció
00
xiközbenső pozícióqjmin<=qji<=qjmax és |qji-q*ji|<--ε˙qji- = ˙qji+ és |qji|<|qjmax|¨qji- = ¨qji+ és |qji|<|qjmax|
xfvégső
00

qj = izület
˙qj = sebesség
¨qj = gyorsulás



Lineáris pályatervezés parabolikus átmenettel
Elv:
  • szakaszonként lineáris az összekötésű
  • 2τ átmeneti idő: beérkező seb => kiindulási seb. τ-t maximális ízületi gyorsulás határozza meg




















gyorsulás = 0 a Ti-tau és Ti+tau helyeken

















































így már ki lehet fejezni az izületet, a sebességet és a gyorsulást a t függvényében. (ezt hosszúság miatt nem írom le, csak be kell helyettesíteni.)

Tranziens idő meghatározása(τB)
¨qjmax:
a) maximuma: (hárompöttyös:) ¨˙q(t)=2kt=0 --> t=0
τB = 3/4 * (v1-v0)/¨qjmax

És most szünet :)

2009/09/02

Bicaj.Fail();

Mai hazautam munkából eredménye:

static void Hazajutás() {
Blas.GetOn(bringa);
Dim Destination As POI("haza").Coordinates
while (Blas.Coordinates != Destination)

{
Blas.Teker(bringa.Pedál);
if ((new Autós.Random).Beszól("anyádérnemtakarodszleazútrólköccsög"))
{ Blas.Felmutat(static Kéz.Bal.Középsőujj); }
} }

ez így futott egy darabig, de aztán:

new EventHandler AutósParasztEvent :

(new Autós.Random).Leszorít(modeAnyázva);
Blas.Ráfut(new kavics);
bringa.Throw(DurrDefektException);

én ennek örömére

Blas.Bazmegol();
Blas.Get(object new Agyfasz);
Blas.Bazmegol();
Blas.NagyonBazmegol();
Blazmeg();

de azért

Blas.Teker(bringa.Pedál);
Blas.Reach(Destination);
Blas.GetOff(bringa);

Holnap majd vmi vicceset írok, csak ma eszembe jutott, hogy van nekem ilyenem és gondoltam hogy akkor már ki is használom. Madörfaking gúd já?

Tsöts belétek 3.

~~~